2013年12月31日 星期二
2013年12月29日 星期日
2013年12月28日 星期六
2013年12月23日 星期一
2013年12月22日 星期日
2013年12月18日 星期三
二上5-3熱對物質的影響(水 酒精 蒸發速度相關問題)
(A)20度C水(B) 20度C酒精(C)50度C水(D)50度C酒精,環境溫度及揮發程度皆同,哪一個溫度下的液體,蒸發程度最快?
A:(D)
[相關觀念]
(一)蒸發與沸黱皆為吸熱的物理反應,水溫愈高則蒸發速率愈快。
(二)他們吸收相同的熱量,水的比熱比酒精大,酒精的比熱比水小,酒精升溫幅度大,溫度高,蒸發快!
(三)
汽化相異點
|
蒸 發
|
沸 騰
|
反應的溫度
|
由0℃→100℃
|
只在100℃時
|
反應的速率
|
較緩慢
|
極快速
|
汽化的部位
|
只在液體表面
|
全部的液體
|
資料來源:http://siro.moe.edu.tw/teach/index.php?n=0&m=0&cmd=content&sb=4&v=3&p=832#
二上5-3熱對物質的影響(飽和的氯化亞鈷溶液受熱後的相關問題)
飽和的氯化亞鈷溶液彩繪在濾紙上,並用吹風機的熱風吹乾,此觀察資料,下列何項正確?
(A)氯化亞鈷受熱會分解成氯和鈷 (B) 這個實驗有物理變化,亦有化學變化 (C)氯化亞鈷和水反應生成藍色的化合物 (D) 濾紙從藍色漸變成粉紅色。
(A)氯化亞鈷受熱會分解成氯和鈷 (B) 這個實驗有物理變化,亦有化學變化 (C)氯化亞鈷和水反應生成藍色的化合物 (D) 濾紙從藍色漸變成粉紅色。
A:(B)
[解析]
(A)氯化亞鈷晶體(紫色)受熱後分解成氯化亞鈷粉末和水
(B)物理變化:含水氯化亞鈷濾紙吸熱後,水變成水蒸氣(還是水);化學變化:粉紅色含水氯化亞鈷濾紙吸熱後產生藍色無水氯化亞鈷新物質
(C)氯化亞鈷(藍色)+水à含水氯化亞鈷(粉紅色)
(D)濾紙從粉紅色漸變成藍色
2013年12月16日 星期一
2013年12月15日 星期日
2013年12月14日 星期六
2013年12月13日 星期五
2013年12月5日 星期四
2013年12月1日 星期日
二上3-4聲波的反射與超聲波(金屬圍籬聲速與圍籬長度問題)
小明與小華分別在金屬圍籬的兩端。小華將耳朵貼在圍籬上,當小明用力敲打圍籬一下時,小華在另一端聽到第一次聲響後,經1秒鐘後又聽到第二次聲響。已知空氣中聲速為340m/s,而此金屬圍籬中的聲速為5100m/s,則此圍籬長度約為多少公尺?
你知道時間差的公式嗎?
距離/V慢 - 距離/V快=時間差
(距離除以V慢減掉距離除以V快等於時間差)
小明敲圍籬時會有二股聲音傳道小華耳朵,第一個聲音是藉由金屬圍籬(固體)傳的(因為固體傳播速率快),第二是空氣傳播的聲音(空氣傳聲叫固體慢)
好!我們來帶公式
因為距離是我們要求的 假設距離為x好了
那麼帶入 x/V慢-x/V快
=
-
=1(時間差,因為經過一秒後又聽到,聽到的是空氣傳的聲音)
資料來源:http://www.funlearn.tw/viewthread.php?tid=2403
你知道時間差的公式嗎?
距離/V慢 - 距離/V快=時間差
(距離除以V慢減掉距離除以V快等於時間差)
小明敲圍籬時會有二股聲音傳道小華耳朵,第一個聲音是藉由金屬圍籬(固體)傳的(因為固體傳播速率快),第二是空氣傳播的聲音(空氣傳聲叫固體慢)
好!我們來帶公式
因為距離是我們要求的 假設距離為x好了
那麼帶入 x/V慢-x/V快
=
資料來源:http://www.funlearn.tw/viewthread.php?tid=2403
2013年11月30日 星期六
2013年11月28日 星期四
2013年11月26日 星期二
2013年11月25日 星期一
2013年11月23日 星期六
2013年11月22日 星期五
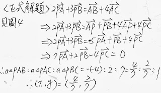
三角形重心座標證明 網路資源
1.http://tw.knowledge.yahoo.com/question/question?qid=1610121406155
2.http://tw.myblog.yahoo.com/sincos-heart/article?mid=3627&next=3615&l=f&fid=60
3.http://webcai.math.fcu.edu.tw/geometric/triangle/hpoint/hpoint3/hpoint3.html
4.http://siro.moe.edu.tw/teach/query.php?action=read_content&p=919&d=1357921612
2.http://tw.myblog.yahoo.com/sincos-heart/article?mid=3627&next=3615&l=f&fid=60
3.http://webcai.math.fcu.edu.tw/geometric/triangle/hpoint/hpoint3/hpoint3.html
4.http://siro.moe.edu.tw/teach/query.php?action=read_content&p=919&d=1357921612
2013年11月19日 星期二
2013年11月15日 星期五
2013年11月14日 星期四
2013年11月13日 星期三
2013年11月9日 星期六
2013年11月5日 星期二
Scratch教學資源
1.Scratch線上教學
http://www.pageone.com.tw/Scratch/
2.內壢國小 Scratch教學
http://163.30.142.1/~scratch/
3.阿達 的Scratch基地 教學
http://blog.yam.com/Scratch31/article/52707171
4.http://www.phcno1.net/modules/tad_book3/index.php?op=list_docs&tbsn=2
5.http://w3.sy3es.tnc.edu.tw/wiki/index.php?title=Scratch
6.http://www.youtube.com/watch?v=2WOcQh5cxa4
7.https://sites.google.com/site/shspswenyu/
http://www.pageone.com.tw/Scratch/
2.內壢國小 Scratch教學
http://163.30.142.1/~scratch/
3.阿達 的Scratch基地 教學
http://blog.yam.com/Scratch31/article/52707171
4.http://www.phcno1.net/modules/tad_book3/index.php?op=list_docs&tbsn=2
5.http://w3.sy3es.tnc.edu.tw/wiki/index.php?title=Scratch
6.http://www.youtube.com/watch?v=2WOcQh5cxa4
7.https://sites.google.com/site/shspswenyu/
2013年11月4日 星期一
2013年11月3日 星期日
2013年11月2日 星期六
Kdenlive使用教學資源
1.阿剛老師的異想世界
http://kentxchang.blogspot.tw/p/kdenlive.html
2.教育部校園自由軟體數位資源推廣服務中心 - 自由軟體專區_新
http://ossacc.moe.edu.tw/modules/ck2_software/view.php?sw_sn=61
http://kentxchang.blogspot.tw/p/kdenlive.html
2.教育部校園自由軟體數位資源推廣服務中心 - 自由軟體專區_新
http://ossacc.moe.edu.tw/modules/ck2_software/view.php?sw_sn=61
2013年11月1日 星期五
二上3-4聲波的反射與超聲波(蝙蝠 超聲波 障礙物 最小的距離 問題)
蝙蝠的飛行,是利用其發出的聲波來判別它與物體的相對位置與距離,如果超聲波傳播的速度是300m/sec,而蝙蝠接收到反射後的反應時間是0.3秒﹔則一隻以每秒20公尺等速度直線飛行的蝙蝠,必須與障礙物至少保持約多少距離,才不會撞到障礙物?
[解析]
(一)了解蝙蝠接收到反射後的反應時間是0.3秒是什麼意思?
假設蝙蝠聽到反射聲波後,再飛行0.3秒就撞到障礙物。
故反應時間0.3秒距離障礙物的位置是20*0.3=6m
(二)了解蝙蝠發出超聲波至反應時間0.3秒時的距離X+6
(X表示蝙蝠發出超聲波與障礙物的距離)
(三)了解蝙蝠飛行至反應時間0.3秒時的距離X-6
(四)了解蝙蝠發出超聲波至反應時間0.3秒時的位置所花的時間與
蝙蝠飛行至反應時間0.3秒時的位置所花的時間相同
X+6/300=X-6/20
X=6又6/7m
資料來源:
訂閱:
意見 (Atom)




































